1.文章简介
|
文章题目 |
Global translational reprogramming is a fundamental layer of immune regulation in plants |
|
中文题目 |
植物免疫反应重塑全基因组蛋白翻译模式 |
|
期刊名 |
Nature IF: 40.137 |
|
作者 |
Guoyong Xu, George H. Greene, Heejin Yoo, Lijing Liu, Jorge Marqués, Jonathan Motley & Xinnian Dong |
|
发表时间 |
2017 |
|
实验材料 |
拟南芥叶片 |
|
测序平台 |
Illumina HiSeq 2000 |
|
相关产品 |
RNA-seq,Ribo-seq |
2.研究背景
由于植物中不存在特异的免疫细胞,植物免疫系统的基础是植物的每一个细胞,它们在受到病原体入侵后转录组重塑的机制已经有比较深入的研究。但对于植物免疫反应过程中对蛋白翻译的调控才刚刚起步。
3.研究内容
这篇文章中对拟南芥受到微生物相关分子模式(microbe-associated molecular pattern)elf18诱导后的免疫反应做了全基因组转录和翻译层次上的研究。
4.研究方法
使用微生物相关分子模式elf18处理和对照处理的拟南芥进行RNA-seq和Ribo-seq,分析拟南芥转录和翻译模式的变化。
5.研究成果
1.微生物相关分子模式elf18对翻译效率的调控
为了研究植物在免疫反应中蛋白质翻译效率的变化,研究者们对拟南芥进行了elf18和对照组处理后,进行RNA-seq和Ribo-seq(ribosome footprinting sequencing)。与对照组相比,elf18处理对拟南芥的转录组和翻译活跃RNA区域都有显著变化,但翻译活跃区域的变化幅度更大,暗示植物免疫反应对蛋白翻译有着更为严谨的调控(图1)。对各基因RNA表达水平和翻译效率的相关性分析发现,这两者之间相关性很低,因此RNA表达水平不是控制翻译效率的主要因素(图1)。

图1. 微生物相关分子模式elf18对翻译效率的调控。
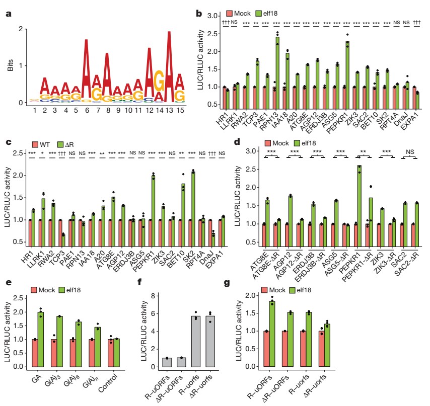
2.R-motif对elf18诱导的翻译效率变化的调控
研究者们试图找出受elf18影响翻译效率的RNA分子是否在序列上有一定特征,他们在这些RNA的5’前导序列中找到一段富含嘌呤的序列,命名为R-motif。对20个含有R-motif基因的翻译效率检测发现,其中15个在受到elf18诱导后翻译效率上升(图2)。对这些基因的R-motif进行突变后,发现其中11个基因的本底翻译效率上升,仅有2个基因本底翻译效率下降(图2)。但R-motif突变的基因对elf18诱导导致的翻译效率变化敏感性显著下降(图2)。因此R-motif一方面抑制基因的本底翻译效率,一方面提高基因对elf18的敏感性,使得该基因的翻译效率在受到elf18诱导后大幅上升。

图2、R-motif对elf18诱导的翻译效率变化的调控。
3. R-motif通过PAB调控翻译效率。
研究者们接下来寻找与R-motif结合在翻译效率调控中发挥功能的蛋白,而poly(A)结合蛋白PAB是很好的候选对象。已有研究指出,PAB不仅与poly(A)尾巴结合促进翻译,也能和其自身5’前导序列中的A-rich序列结合抑制翻译。拟南芥中有三个泛表达的PAB:PAB2、PAB4、PAB8。研究者们将PAB2与三个含有R-motif的基因ZIK3、BET10、SK2,以及一个不含R-motif的基因SAC2共表达,发现仅含有R-motif的基因在与PAB2共表达后翻译效率下降,而且将R-motif突变后这种变化趋势消失(图3)。在PAB2/4和PAB2/8双重突变的植株中,对elf18诱导的敏感性也有所下降(图3)。因此研究者们认为,PAB家族成员是elf18/R-motif介导的翻译调控中的重要成员。

图3. R-motif通过PAB调控翻译效率。
参考文献:
Xu G, Greene GH, Yoo H, Liu L, Marqués J, Motley J, Dong X. 2017. Global translational reprogramming is a fundamental layer of immune regulation in plants. Nature 545: 487–490.


